服务热线02152235399
当前位置:博客 > 生物信息

An Implementation of Double-Array Trie 双数组Trie的一种实现

时间:2018-10-22    |    阅读量:6542


原文http://linux.thai.net/~thep/datrie/datrie.html

引文:http://quweiprotoss.blog.163.com/blog/static/4088288320091120112155178/

Contents

1. What is Trie?

2. What Does It Take to Implement a Trie?

3. Tripple-Array Trie

4. Double-Array Trie

5. Suffix Compression

6. Key Insertion

7. Key Deletion

8. Double-Array Pool Allocation

9. An Implementation

10. Download

11. References

What is Trie?

Trie is a kind of digital search tree. (See [Knuth1972] for the detail of digital search tree.)[Fredkin1960] introduced the trie terminology, which is abbreviated from "Retrieval".

Trie是一种数字搜索树,[Fredkin]引入了trie这个术语,它是Retrieval的缩写。

Trie is an efficient indexing method. It is indeed also a kind of deterministic finite automaton (DFA) (See[Cohen1990], for example, for the definition of DFA). Within the tree structure, each node corresponds to a DFA state, each (directed) labeled edge from a parent node to a child node corresponds to a DFA transition. The traversal starts at the root node. Then, from head to tail, one by one character in the key string is taken to determine the next state to go. The edge labeled with the same character is chosen to walk. Notice that each step of such walking consumes one character from the key and descends one step down the tree. If the key is exhausted and a leaf node is reached, then we arrive at the exit for that key. If we get stuck at some node, either because there is no branch labeled with the current character we have or because the key is exhausted at an internal node, then it simply implies that the key is not recognized by the trie.

Trie是一种高效的索引方法,它实际上是一种确定有限自动机(DFA),在树的结构中,每一个结点对应一个DFA状态,每一个从父结点指向子结点(有向)标记的边对应一个DFA转换。遍历从根结点开始,然后从head到tail,由关键词(本想译成键字符串,感太别扭)的每个字符来决定下一个状态,标记有相同字符的边被选中做移动。注意每次这种移动会从关键词中消耗一个字符并走向树的下一层,如果这个关键字符串空了,并且走到了叶子结点,那么我们达到了这个关键词的出口。如果我们被困在了一点结点,比如因为没有分枝被标记为当前我们有的字符,或是因为关键字符串在中间结点就空了,这表示关键字符串没有被trie认出来。

Notice that the time needed to traverse from the root to the leaf is not dependent on the size of the database, but is proportional to the length of the key. Therefore, it is usually much faster than B-tree or any comparison-based indexing method in general cases. Its time complexity is comparable with hashing techniques.

注意从根遍历到叶子的时间不依赖于数据量的大小,而与关键词的长度成比例。也就是它通常比B-tree要快的多,或是比任何基于比较的索引方法在一般情况下都快的多。它的时间复杂度可以与hashing技术相比。

In addition to the efficiency, trie also provides flexibility in searching for the closest path in case that the key is misspelled. For example, by skipping a certain character in the key while walking, we can fix the insertion kind of typo. By walking toward all the immediate children of one node without consuming a character from the key, we can fix the deletion typo, or even substitution typo if we just drop the key character that has no branch to go and descend to all the immediate children of the current node.

除了效率,trie可以当关键词被拼错了时,提供灵活的搜索。比如在遍历时忽略一个特定的字符,我们可以修正多输入的这种输入错误。直接遍历所有直接的子结点而不消耗一个字符,这样我可以修正少输的输入错误,或者甚至替换输入的错误,如果我们没有分支可以向下移动,就向当前结点的所有子结点直接向下移动。

What Does It Take to Implement a Trie?

In general, a DFA is represented with a transition table, in which the rows correspond to the states, and the columns correspond to the transition labels. The data kept in each cell is then the next state to go for a given state when the input is equal to the label.

通常,一个DFA是用一个transition table表示,它的行对应状态s,它的列对应转换标签s。每一个单元中的数据当输入与标记相同时,给定一个状态后要到达的状态。

This is an efficient method for the traversal, because every transition can be calculated by two-dimensional array indexing. However, in term of space usage, this is rather extravagant, because, in the case of trie, most nodes have only a few branches, leaving the majority of the table cells blanks.

这是一个的遍历高效方法,因为每次转换可以通过计算二维的数组索引得到。但是,从空间使用的角度看,这是相当浪费的,因为,在trie这种情况中,大多数结点只有少量的分枝,表中大多数单元是空白的。

Meanwhile, a more compact scheme is to use a linked list to store the transitions out of each state. But this results in slower access, due to the linear search.

同时,一个更紧凑的方式是用链表保存每个状态的转移,但这种方式会比较慢,因为要进行线性搜索

Hence, table compression techniques which still allows fast access have been devised to solve the problem.

所以,建议使用可以快速访问的表压缩技术。

1. [Johnson1975] (Also explained in [Aho+1985] pp. 144-146) represented DFA with four arrays, which can be simplified to three in case of trie. The transition table rows are allocated in overlapping manner, allowing the free cells to be used by other rows.

2. [Aoe1989] proposed an improvement from the three-array structure by reducing the arrays to two.

Tripple-Array Trie

As explained in [Aho+1985] pp. 144-146, a DFA compression could be done using four linear arrays, namely default, base, next, and check. However, in a case simpler than the lexical analyzer, such as the mere trie for information retrieval, the default array could be omitted. Thus, a trie can be implemented using three arrays according to this scheme.

在[Aho+1985]中解释到,一个DFA压缩可以用四个数据来完成,分别是default, base, next, check。但是与语法分析不同,比如用于信息检索的trie,default可以被忽略。所以,一个trie可以用三个数组来实现。

Structure

The tripple-array structure is composed of:

1. base. Each element in base corresponds to a node of the trie. For a trie nodes, base[s] is the starting index within the next and check pool (to be explained later) for the row of the node s in the transition table.

2. next. This array, in coordination with check, provides a pool for the allocation of the sparse vectors for the rows in the trie transition table. The vector data, that is, the vector of transitions from every node, would be stored in this array.

3. check. This array works in parallel to next. It marks the owner of every cell in next. This allows the cells next to one another to be allocated to different trie nodes. That means the sparse vectors of transitions from more than one node are allowed to be overlapped.

三数组结构包括:

1.  base.在base中的每个元素对应trie中的一个结点,对于一个trie结点s,base[s]是next和check pool的起始索引,它们是在转移表中结点s的行。

2.  next. 这个数组,与check配合,提供一个pool来分配trie转移表中稀疏向量。这个向量数据是从每一个结点的转移向量,会被保存在这个数组中。

3.  check. 这个数组与next平行地工作。它标记在next单元的owner。它允许单元s转移到别一个单元可以分配到不同的trie结点s。这意味着转移s 的稀疏向量s可以从不同的结点转移到。

Definition 1. For a transition from state s to t which takes character c as the input, the condition maintained in the tripple-array trie is:

check[base[s] + c] = s

next[base[s] + c] = t

定义 1. 对于从状态s将c做为输入,转移到t,保存在三数组中trie条件是:

check[base[s] + c] = s

next[base[s] + c] = t

Walking

According to definition 1, the walking algorithm for a given state s and the input character c is:

根据定义1,对于一个给定状态s和一个输入字符c,移动算法如下:

t := base[s] + c;

if check[t] = s then

next state := next[t]

else

fail

endif

Construction

To insert a transition that takes character c to traverse from a state s to another state t, the cellnext[base[s] + c]] must be managed to be available. If it is already vacant, we are lucky. Otherwise, either the entire transition vector for the current owner of the cell or that of the state s itself must be relocated. The estimated cost for each case could determine which one to move. After finding the free slots to place the vector, the transition vector must be recalculated as follows. Assuming the new place begins at b, the procedure for the relocation is:

插入一个从状态s到另一个状态t的转移,单元next[base[s]+c]必须是空闲的。如果它就是空的,那么我们很幸运。不然,或是将当前 owner的整个转移向量重新分配,或是状态s自己要重新分配。这两种情况的估计代价会决定采用哪用方式。在找到空闲的位置来放这个向量,转移向量必须重新如下计算,假设新的位置开始于b,重新分配的过程如下:

Procedure Relocate(s : state; b : base_index)

{ Move base for state s to a new place beginning at b }

begin

foreach input character c for the state s

{ i.e. foreach c such that check[base[s] + c]] = s }

begin

check[b + c] := s;     { mark owner }

next[b + c] := next[base[s] + c];     { copy data }

check[base[s] + c] := none { free the cell }

end;

base[s] := b

end

Double-Array Trie

The tripple-array structure for implementing trie appears to be well defined, but is still not practical to keep in a single file. The next/check pool may be able to keep in a single array of integer couples, but thebase array does not grow in parallel to the pool, and is therefore usually split.

三数组结构来实现trie看真似为是一个很好的方式,但是将它保存到一个单一文件还是不现实的,next/check pool也许可以保存在整型对的一个单个数组,但是base数组不与pool平行地增长,所以通常分离。

To solve this problem, [Aoe1989] reduced the structure into two parallel arrays. In the double-array structure, the base and next are merged, resulting in only two parallel arrays, namely, base and check.

解决这个问题,[Aoe1989]减少这个结构到二个平行的数组,在这个双数组结构中,将base和next合并,它只使用两个平行的数组为,base和check。

Structure

Instead of indirectly referencing through state numbers as in tripple-array trie, nodes in double-array trie are linked directly within the base/check pool.

不同于三数组trie中通过状态号间接引用,在双数组trie是直接在base / check pool中链接。

Definition 2. For a transition from state s to t which takes character c as the input, the condition maintained in the double-array trie is:

check[base[s] + c] = s

base[s] + c = t

定义2. 对于一个接收字符c从状态s移动到t的转移,在双数组中保存的条件是:

check[base[s] + c] = s

base[s] + c = t

Walking

According to definition 2, the walking algorithm for a given state s and the input character c is:

根据定义2,对于从状态s接收输入c的移动算法如下:

t := base[s] + c;

if check[t] = s then

next state := t

else

fail

endif

Construction

The construction of double-array trie is in principle the same as that of tripple-array trie. The difference is the base relocation:

构造双数组trie在原理上是与三数组trie相同的,不同点在于base的重新定位。

Procedure Relocate(s : state; b : base_index)

{ Move base for state s to a new place beginning at b }

begin

foreach input character c for the state s

{ i.e. foreach c such that check[base[s] + c]] = s }

begin

check[b + c] := s;     { mark owner }

base[b + c] := base[base[s] + c];     { copy data }

{ the node base[s] + c is to be moved to b + c;

Hence, for any i for which check[i] = base[s] + c, update check[i] to b+ c }

foreach input character d for the node base[s] + c

begin

check[base[base[s] + c] + d] := b + c

end;

check[base[s] + c] := none { free the cell }

end;

base[s] := b

end

Suffix Compression

[Aoe1989] also suggested a storage compression strategy, by splitting non-branching suffixes into single string storages, called tail, so that the rest non-branching steps are reduced into mere string comparison.

[Aoe1989]也建议了一种压缩策略,通过拆分non-branching后缀到单一字符串保存,称为tail,这样剩余的non-branching步骤就减为字符串压缩了。

With the two separate data structures, double-array branches and suffix-spool tail, key insertion and deletion algorithms must be modified accordingly.

使用两种不同的数据结构,双数组分枝和suffix-spool tail,关键词插入和删除算法也必须相应的修改。

Key Insertion

To insert a new key, the branching position can be found by traversing the trie with the key one by one character until it gets stuck. The state where there is no branch to go is the very place to insert a new edge, labeled by the failing character. However, with the branch-tail structure, the insertion point can be either in the branch or in the tail.

插入一个新的关键词,分枝位置可以通过关键词中的字符遍历trie,直到它困住。这种状态就是没有分枝可以走,要插入一个新的边的位置,这个边标记为那个失败的字符。然而,用branch-tail结构,插入点可以在branch或是tail。

1. When the branching point is in the double-array structure

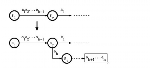
Suppose that the new key is a string a1a2...ah-1ahah+1...an, where a1a2...ah-1 traverses the trie from the root to a node sr in the double-array structure, and there is no edge labeled ah that goes out of sr. The algorithm called A_INSERT in [Aoe1989] does as follows:

假设一个新的key是一个字符串a1a2...ah-1ahah+1...an,其中a1a2...ah-1从trie的根遍历到结点sr,并且没有边标记为ah可以走出sr。这个算法称为A_INSERT在[Aoe1989]中如下操作:

From sr, insert edge labeled ah to new node st;

Let st be a separate node poining to a string ah+1...an in tail pool.

2. When the branching point is in the tail pool

Since the path through a tail string has no branch, and therefore corresponds to exactly one key, suppose that the key corresponding to the tail is

a1a2...ah-1ah...ah+k-1b1...bm,

where a1a2...ah-1 is in double-array structure, and ah...ah+k-1b1...bm is in tail. Suppose that the substring a1a2...ah-1 traverses the trie from the root to a node sr.

And suppose that the new key is in the form

a1a2...ah-1ah...ah+k-1ah+k...an,

where ah+k <> b1. The algorithm called B_INSERT in [Aoe1989] does as follows:

当路径经过tail字符串没有branch,所以对应一个关键词,假设在tail这个关键词对应的是:

a1a2...ah-1ah...ah+k-1b1...bm,

其中a1a2...ah-1在双数组结构中,而ah...ah+k-1b1...bm在tail。假设子串a1a2...ah-1遍历trie从根到sr。

并假设这个新的关键词是如下形式:

a1a2...ah-1ah...ah+k-1ah+k...an,

其中ah+k <> b1。这个算法在[Aoe1989]中被称为B_INSERT如下操作:

From sr, insert straight path with ah...ah+k-1, ending at a new node st;

From st, insert edge labeled b1 to new node su;

Let su be separate node pointing to a string b2...bm in tail pool;

From st, insert edge labeled ah+k to new node sv;

Let sv be separate node pointing to a string ah+k+1...an in tail pool.

Key Deletion

To delete a key from the trie, all we need to do is delete the tail block occupied by the key, and all double-array nodes belonging exclusively to the key, without touching any node belonging to other keys.

从trie中删除一个关键词,我们仅需要的是删除被这个关键词占有的tail块,和所有只属于这个关键词的双数组结点,不改变其它关键词的结点。

Consider a trie which accepts a language K = {pool#, prepare#, preview#, prize#, produce#, producer#, progress#} :

考虑一个trie,它接收语言K = {pool#, prepare#, preview#, prize#, produce#, producer#, progress#} :

The key "pool#" can be deleted by removing the tail string "ol#" from the tail pool, and node 3 from the double-array structure. This is the simplest case.

关键词"pool#"可以通过从tail pool移除tail字符串"ol#",即双数组结构中的结点3,这是最简单的情况。

To remove the key "produce#", it is sufficient to delete node 14 from the double-array structure. But the resulting trie will not obay the convention that every node in the double-array structure, except the separate nodes which point to tail blocks, must belong to more than one key. The path from node 10 on will belong solely to the key "producer#".

移除关键词"produce#",从双数组结构中删除结点14就可以了,但是产生的trie不再遵循trie的定义,即除指向tail块的分离的结点外,必须属于多个关键词。从结点10的路径仅属于关键词"producer#"。

But there is no harm violating this rule. The only drawback is the uncompactnesss of the trie. Traversal, insertion and deletion algoritms are intact. Therefore, this should be relaxed, for the sake of simplicity and efficiency of the deletion algorithm. Otherwise, there must be extra steps to examine other keys in the same subtree ("producer#" for the deletion of "produce#") if any node needs to be moved from the double-array structure to tail pool.

但是违反这个规则没有什么坏处。唯一的缺点是trie不紧凑。遍历,插入,删除算法都是不改变的。所以,出于删除算法简单和高效,这是可以放宽的。不然,必须有额外的步骤来检查其它在相同子树的关键词,看是否其它结点需要从双数组结构删除到 tail pool。

Suppose further that having removed "produce#" as such (by removing only node 14), we also need to remove "producer#" from the trie. What we have to do is remove string "#" from tail, and remove nodes 15, 13, 12, 11, 10 (which now belong solely to the key "producer#") from the double-array structure.

进一步假设删除的除了"produce#"(只删除结点14),我们还需要从trie中删除"producer#"。我们需要做的是从tail中删除"#",并删除15, 13, 12, 11, 10(它们仅属于关键词"producer#")。

We can thus summarize the algorithm to delete a key k = a1a2...ah-1ah...an, where a1a2...ah-1 is in double-array structure, and ah...an is in tail pool, as follows :

我们可以总结这个算法,其中删除了一个关键词k = a1a2...ah-1ah...an,其中a1a2...ah-1是在双数组结构中,且ah...an在tail pool中, 如下:

Let sr := the node reached by a1a2...ah-1;

Delete ah...an from tail;

s := sr;

repeat

p := parent of s;

Delete node s from double-array structure;

s := p

until s = root or outdegree(s) > 0.

Where outdegree(s) is the number of children nodes of s.

其中outdegree(s)是s的子结点数。

Double-Array Pool Allocation

When inserting a new branch for a node, it is possible that the array element for the new branch has already been allocated to another node. In that case, relocation is needed. The efficiency-critical part then turns out to be the search for a new place. A brute force algorithm iterates along the check array to find an empty cell to place the first branch, and then assure that there are empty cells for all other branches as well. The time used is therefore proportional to the size of the double-array pool and the size of the alphabet.

当对一个结点插入一个新的分枝,有可能数组中为新的分枝的位置已经分配给了其它结点,在这种情况下,需要重新定位,影响效率的部分就是寻找一个新的位置,一种brute force(蛮力)算法迭代check数组找出一个空的单元来放置第一个分枝,然后假设还有空的单元来放其它的分枝。所以时间复杂性与双数组的大小和字母集的大小成正比。

Suppose that there are n nodes in the trie, and the alphabet is of size m. The size of the double-array structure would be n + cm, where c is a coefficient which is dependent on the characteristic of the trie. And the time complexity of the brute force algorithm would be O(nm + cm2).

假设在trie中有n个结点,字母集的大小为m。双数组结构的大小为n+cm,其中c是一个依赖trie字符形式的一个系数。Brute force算法的时间复杂性是O(nm + cm2)。

[Aoe1989] proposed a free-space list in the double-array structure to make the time complexity independent of the size of the trie, but dependent on the number of the free cells only. The check array for the free cells are redefined to keep a pointer to the next free cell (called G-link) :

[Aoe1989]提出了在双数组结构中一个free-space list使时间复杂性与trie的大小无关,但仅与空闲单元的方法。Check数组的空闲单元被重定义为保存一下指向下一个空闲单元的指针(称为G-link):

Definition 3. Let r1, r2, ... , rcm be the free cells in the double-array structure, ordered by position. G-link is defined as follows :

check[0] = -r1

check[ri] = -ri+1 ; 1 <= i <= cm-1

check[rcm] = -1

定义3. 令r1, r2, ... , rcm为双数组结构中的空闲单元,以位置排序。G-link定义如下:

check[0] = -r1

check[ri] = -ri+1 ; 1 <= i <= cm-1

check[rcm] = -1

By this definition, negative check means unoccupied in the same sense as that for "none" check in the ordinary algorithm. This encoding scheme forms a singly-linked list of free cells. When searching for an empty cell, only cm free cells are visited, instead of all n + cm cells as in the brute force algorithm.

根据这个定义,负check意味着空闲与在普通算法中的"none" check是同一个意思,这种编码方式形成了一个空闲单无单一链接的链表。当搜索一个空闲单元,仅cm空闲单元被访问,而不是在brute force算法中的所有n+cm。

This, however, can still be improved. Notice that for those cells with negative check, the correspondingbase's are not given any definition. Therefore, in our implementation, Aoe's G-link is modified to be doubly-linked list by letting base of every free cell points to a previous free cell. This can speed up the insertion and deletion processes. And, for convenience in referencing the list head and tail, we let the list be circular. The zeroth node is dedicated to be the entry point of the list. And the root node of the trie will begin with cell number one.

这仍然是可以提高的,注意那些是负check的单元,对应的base单元没有任何给定的定义,所以,在我们的实现中,Aoe’s G-link被修改为双链接的列表,使base中的每一个空闲单元指到前一个空闲单元。这可以提高插入和删除的速度。并且为了方便引用列表的头和尾,我们使用了循环链表,第0个结点被指定为列表的入口。并且trie的根结点开始于第1个单元。

Definition 4. Let r1, r2, ... , rcm be the free cells in the double-array structure, ordered by position. G-link is defined as follows :

check[0] = -r1

check[ri] = -ri+1 ; 1 <= i <= cm-1

check[rcm] = 0

base[0] = -rcm

base[r1] = 0

base[ri+1] = -ri ; 1 <= i <= cm-1

定义4. 令r1, r2, ... , rcm为双数组结构中的空闲单元,以位置排序,G-link的定义如下:

check[0] = -r1

check[ri] = -ri+1 ; 1 <= i <= cm-1

check[rcm] = 0

base[0] = -rcm

base[r1] = 0

base[ri+1] = -ri ; 1 <= i <= cm-1

Then, the searching for the slots for a node with input symbol set P = {c1, c2, ..., cp} needs to iterate only the cells with negative check :

那么,为输入符号集P = {c1, c2, ..., cp}寻找一个结点的单元,只需要在有负check的单元中迭代。

{find least free cell s such that s > c1}

s := -check[0];

while s <> 0 and s <= c1 do

s := -check[s]

end;

if s = 0 then return FAIL;  {or reserve some additional space}

{continue searching for the row, given that s matches c1}

while s <> 0 do

i := 2;

while i <= p and check[s + ci - c1] < 0 do

i := i + 1

end;

if i = p + 1 then return s - c1;  {all cells required are free, so return it}

s := -check[-s]

end;

return FAIL;  {or reserve some additional space}

The time complexity for free slot searching is reduced to O(cm2). The relocation stage takes O(m2). The total time complexity is therefore O(cm2 + m2) = O(cm2).

搜索slot的时间复杂度下降到O(cm2)。重定位步骤占O(m2)。所以全部的时间复杂度是O(cm2 + m2) = O(cm2)。

It is useful to keep the free list ordered by position, so that the access through the array becomes more sequential. This would be beneficial when the trie is stored in a disk file or virtual memory, because the disk caching or page swapping would be used more efficiently. So, the free cell reusing should maintain this strategy :

将free list以位置排序是有好处的,这样访问位置可以是顺序访问,当trie保存在磁盘文件或是虚拟内存中,这会是有好处的,因为磁盘缓存和交换页的使用会更有效。所以,空闲单元重用应保持这个策略。

t := -check[0];

while check[t] <> 0 and t < s do

t := -check[t]

end;

{t now points to the cell after s' place}

check[s] := -t;

check[-base[t]] := -s;

base[s] := base[t];

base[t] := -s;

Time complexity of freeing a cell is thus O(cm).

释放一个单元的时间复杂度是O(cm)。

An Implementation

In my implementation, I exploit the concept of virtual memory to manage large and permenent trie. A base class called VirtualMem divides the data file into pages, and swaps them in as needed. Memory economy and disk caching is thus achieved. Different memory accessing methods are provided so that the page swapping mechanism is hidden from the class users. Meanwhile, byte order is internally managed on-the-fly inside the methods to achieve data portability.

Double-array structure and tail pool are then built upon the VirtualMem base class. Trie class is then created to contain the two data structures, with basic interfaces for trie manipulation.

Download

Update: The double-array trie implementation has been simplified and rewritten from scratch in C, and is now named libdatrie. It is now available under the terms of GNU Lesser General Public License (LGPL):

· libdatrie-0.2.2 (29 April 2009)

· libdatrie-0.2.1 (5 April 2009)

· libdatrie-0.2.0 (24 March 2009)

· libdatrie-0.1.3 (28 January 2008)

· libdatrie-0.1.2 (25 August 2007)

· libdatrie-0.1.1 (12 October 2006)

· libdatrie-0.1.0 (18 September 2006)

SVN: svn co http://linux.thai.net/svn/software/datrie

The old C++ source code below is under the terms of GNU Lesser General Public License (LGPL):

· midatrie-0.3.3 (2 October 2001)

· midatrie-0.3.3 (16 July 2001)

· midatrie-0.3.2 (21 May 2001)

· midatrie-0.3.1 (8 May 2001)

· midatrie-0.3.0 (23 Mar 2001)

References

1. [Knuth1972] Knuth, D. E. The Art of Computer Programming Vol. 3, Sorting and Searching. Addison-Wesley. 1972.

2. [Fredkin1960] Fredkin, E. Trie Memory. Communication of the ACM. Vol. 3:9 (Sep 1960). pp. 490-499.

3. [Cohen1990] Cohen, D. Introduction to Theory of Computing. John Wiley & Sons. 1990.

4. [Johnson1975] Johnson, S. C. YACC-Yet another compiler-compiler. Bell Lab. NJ. Computing Science Technical Report 32. pp.1-34. 1975.

5. [Aho+1985] Aho, A. V., Sethi, R., Ullman, J. D. Compilers : Principles, Techniques, and Tools. Addison-Wesley. 1985.

6. [Aoe1989] Aoe, J. An Efficient Digital Search Algorithm by Using a Double-Array Structure. IEEE Transactions on Software Engineering. Vol. 15, 9 (Sep 1989). pp. 1066-1077.

7. [Virach+1993] Virach Sornlertlamvanich, Apichit Pittayaratsophon, Kriangchai Chansaenwilai. Thai Dictionary Data Base Manipulation using Multi-indexed Double Array Trie. 5th Annual Conference. National Electronics and Computer Technology Center. Bangkok. 1993. pp 197-206. (in Thai)